26+ Master Theorem Calculator
Master Theorem With Examples Coding Ninjas

Master Theorem Calculator Gate Vidyalay Pdf Recurrence Relation Theory Of Computation
Advanced Master Theorem For Divide And Conquer Recurrences Geeksforgeeks
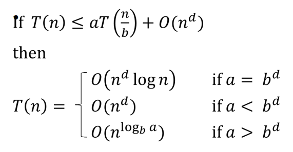
Master Theorem Solve Recurrence Relation Using Master By Randerson112358 Medium
Master Theorem Solve Recurrence Relation Using Master By Randerson112358 Medium
Pdf Structure Of Heavy Nuclei Based On Nucleon Quartets
Pdf Trends And Cycles
Master Theorem In The Analysis Of Algorithms The By Kesavi Kanesalingam Medium
7 Quality Tools Learn Seven Best Types Of Quality Tools
Auctex Changelog 1 At Master Giordano Auctex Github
Master S Theorem In Data Structures Master S Algorithm Scaler Topics
How To Apply The Central Limit Theorem On Ti 84 Calculator
Master S Theorem In Data Structures Master S Algorithm Scaler Topics
Master Theorem Calculator Gate Vidyalay Pdf Recurrence Relation Theory Of Computation
Spin Polarized Transport In Semiconductors Challenges For
Master Theorem In Data Structure Dot Net Tutorials
Master Theorem In Data Structure Dot Net Tutorials
Master Theorem Solve Recurrence Relation Using Master By Randerson112358 Medium